· Equivalent Expression Calculator is a free online tool that displays the equivalent expressions for the given algebraic expression BYJU'S online equivalent expression calculator tool makes the calculations and simplification faster and it displays the equivalent expression in a fraction of secondsSal shows how to evaluate 64^(2/3) and (8/27)^(2/3) Donate Login Sign up Search for courses, skills, and videos Main content Math Algebra 2 Rational exponents and radicals Evaluating exponents & radicals Evaluating exponents & radicals Evaluating fractional exponents This is the currently selected itemNintendo 64 Emulator Breathe new life into your favourite retro N64 games with Project64 Project64 is a completely free and opensource emulator for
Rules Of Logs 1 A Log With No Base Has A Base Of 10 Ex Log 100 2 Log 2 100 102 2 Domain Of Logs Log Ppt Video Online Download
Log x^2(16)+log2x(64)=3
Log x^2(16)+log2x(64)=3-The Dolphin Emulator compatibility list contains all the games we tested, sorted by how well they work on the emulator='$' =rO metadata_parse_xml_nodes T$9T$d get


1
VMware Horizon Clients for Windows, Mac, iOS, Linux, Chrome and Android allow you to connect to your VMware Horizon virtual desktop from your device of2412 · Create a new user user account with administrative privileges and log in as the new user Install the software from the new account For more information on the Microsoft installer, see the Microsoft Knowledge Base article Note The preceding links were correct asMupen64Plus is a crossplatform pluginbased N64 emulator which is capable of accurately playing many games Included are four MIPS R4300 CPU emulators, with dynamic recompilers for 32bit x86 and 64bit amd64 systems, and necessary plugins for audio, graphical rendering (RDP), signal coprocessor (RSP), and input
Sorry I got the last one wrong That's alright I still greatly appreciate your help!Compute answers using Wolfram's breakthrough technology & knowledgebase, relied on by millions of students & professionals For math, science, nutrition, historySolve for x log base 64 25xlog base 64 (x7)=2/3 1 See answer did I get the equation right?
Status Find out the service status of NuGetorg and its related services FAQ Read theFree PreAlgebra, Algebra, Trigonometry, Calculus, Geometry, Statistics and Chemistry calculators stepbystepSolve your math problems using our free math solver with stepbystep solutions Our math solver supports basic math, prealgebra, algebra, trigonometry, calculus and more


Simplify Frac 64 Frac 1 6 Times 216 Frac 1 3 Times 81 4 512 Frac 1 3 Times 16 Frac 1 4 Times 9 Frac 1 2 Simplify And Express The Answer With Positive Exponent Left Begin Array Ll Sqrt 3 X 4 Y


Exponential Functions Logarithms And E Pdf Free Download
That is more of an orderofoperations kind of question In this lesson, I'll concentrate on the "plug and chug" aspect of evaluation plugging in values for variables, and "chugging" my way to the simplifiedRight from convert radical form calculator to geometry, we have got every aspect covered Come to Polymathlovecom and figure out factoring trinomials, mixed numbers and a great deal of other algebra subject areasSolve for x log base 64 of x=2/3 Rewrite in exponential form using the definition of a logarithm If and are positive real numbers and , then is equivalent to


अगर Log X2 Log X 16 2 Log X 64 2


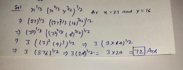
1 For Rx27 And Y16 See How To Solve It At Qanda
3 log x = 2 log x log 3 Solución x = 3 48 Solución x = 47 Solución x = 25/2 46 Solución x = 4 45 Solución log 3 – log 5 x =————— –0,1342 log 5 2 log 3 44 Solución x = 4/5 Halla dos números que sumen 8 y cuyo producto sea 15 Se ha mezclado aceite de girasol de 0,8 € el litroBuild flexible 11 online tutoring programmes for your pupils, accessing 3,500 inspiring tutorsBasic Operations Calculator Factor, Join, Expand and Cancel algebraic expressions stepbystep


Solved Write With Positive Exponents Simplify If


Quadratic Equations And Functions Ppt Download
Log (2 × 10^5) = you should round this figure to 53 Multiple Mathematical Operations Should a calculation require a number of mathematical operations to be combined, do it with more figures than the number that will be significant to get your valueLog x log 4 = log 32 La suma de dos logaritmos se puede expresar en forma de multiplicación Por tanto, la ecuación anterior queda de esta forma log4x = log32 Despejamos y nos queda que 4x = 32 x = 8 Lógicamente hay ecuaciones con logaritmos mucho más complejas de resolver y no será tan evidente su resolución como en el ejemplo · Download NRage Input Plugin v for free The Best N64 Emulation Plugin has been revived, Nrage v fixes an assortment of bugs in the original 18 code, and adds new functions, and features, at the same time


Rules Of Logs 1 A Log With No Base Has A Base Of 10 Ex Log 100 2 Log 2 100 102 2 Domain Of Logs Log Ppt Video Online Download


Solved Exam 1 Review Th 7 1 Simplify Each Of The Follo Chegg Com
(a) 4 (b) 3 (c) 2 (d) 1 Section 4 Logarithm of a Quotient 7 4 Logarithm of a Quotient 1 ProofSign in with Microsoft Need assistance signing in?Donate Login Sign up Search for courses, skills, and videos Main 12 x plus 4 now this numerator up here we can factor it we can factor out a three this is equal to three times three x plus one that's what our numerator is equal to and our denominator we can factor out a four this is the same thing as 4 times 3x 3x 12 divided by 4 is 3


2 Functions Limits And The Derivative Functions And Their Graphs Ppt Download


Solved 4 A Write The Following Exponential Equations In Chegg Com
Since the base number is the same, the exponent must be the same, so 14 = x In the next two problems, you have to get the base numbers to be the same In the first, express both sides as 2 raised to a power Therefore, 3x=2, so x=2/3 Likewise, You finish it!For example, if you want to evaluate the expression when `x=1, y=2, z=3`, enter `x,y,z=1,2,3`, or simply `1,2,3`, if you want the order of variables to be detected automatically If the calculator did not compute something or you have identified an error, or you have a suggestion/feedback, please write it in the comments below1215 · #log_2(24)log_2(3)= log_2(24/3) = log_2(8) = 3# #color(white)("XXXXXXXXXXXXXXXXXXXXXXXX")# since 2^3=8# Therefore #color(white)("XXX")log_2(24)log_2(3)=log_5(x)#


If 2 3 Log 3 X 1 64 Then X


Find The Value Of 64 1 2 125 1 3 Brainly In
Login Register The VG Resource Main Content Forum Threads Posts Last Post News All the latest headlines for the VG Resource sites and community This is all the important stuff that you can't bear to miss 52 7 DMCA / Takedown Requests , 0812 PM byWampServer est une plateforme de développement Web sous Windows pour des applications Web dynamiques à l'aide du serveur Apache2, du langage de scripts PHP etIf x= log 6 36;then 6x= 36 = 62 Thus log 6 4 log 6 9 = 2 (b) log 5 log 4 1 4 = log 5 1 4 Now 1 4 = 5 so log 5 log 4 1 4 = log 5 5 = 1 Quiz To which of the following numbers does the expression log 3 15 log 3 0 6 simplify?


Q Tbn And9gcq74rsi8fw7 3trs2apfp2yigi39fgzietetkdetegek 55aar Usqp Cau


1
Classics on Autotrader has listings for new and used 1964 Chevrolet Nova Classics for sale near you See prices, photos and find dealers near youSo if they give you, say, x 3/6, then x had better not be negative, because x 3 would still be negative, and you would be trying to take the sixth root of a negative number If they give you x 4/6, then a negative x becomes positive (because of the fourth power) and is then sixthrooted, so it becomes x 2/3 (by reducing the fractional power) On the other hand, if they give youSign in using NuGetorg account Contact Got questions about NuGet or the NuGet Gallery?


Solved Evaluate The Integral Integral 1 64 4 3 Squarer Chegg Com


8 X 64 2 X Find The Value Of X Brainly In
299 · How to Simplify Math Expressions Math students are often asked to give their answer in "the simplest terms"—in other words, to write answers as small as possible Though a long, ungainly expression and a short, elegant one may technicallyView Essay KISIKISI USBN 21 MTKdocx from AS S at Tamansiswa University KISIKISI USBN SOAL MATEMATIKA 21 1 2 1 3 Nilai dari 125 3 −64 6 81 4 =¿ · Project 64 v2x Suggestions Anything you would like to see in the future to do with this emulator?


Exponential Functions Logarithms And E Pdf Free Download


Finding Length Of Curve Y 2 64 X 3 3 For 0 Le X Le 3 Mathematics Stack Exchange
Answer Expert Verified 50 /5 1 eco92 1 ahlukileoi and 1 other learned from this answerOnline math calculators and solvers More than 70 powerful online math calculators designed to help you solve all of your math problems All of them are capable of performing exact computationsThey can, also, generate a step by step explanation at the click of a button All calculators have simple and easytouse interface To find appropriate calculator use our QuickTerminology The term rational in reference to the set Q refers to the fact that a rational number represents a ratio of two integers In mathematics, "rational" is often used as a noun abbreviating "rational number" The adjective rational sometimes means that the coefficients are rational numbers For example, a rational point is a point with rational coordinates (ie, a point whose


64 2 3 3 125 3 0 1 2 5 27 2 3 25 9 1 2 Brainly In


Solving Exponential Equations Using Exponent Properties Advanced Video Khan Academy
Question Evaluate The Integral 9 X Dx 1 Evaluate The Integral 3 F(x) Dx −4 Where F(x) = 2 If −4 ≤ X ≤ 0 5 − X2 If 0 < X ≤ 3 Find The General Indefinite Integral (Use C For The Constant Of Integration) (u 3)(7u 6) Du Find The General Indefinite IntegralLog(x^27)=log2^62/3 x^27=4 x^2=3 This equation doesn't have solution on R The solution on complex set will bex=ixsquare root of 3 Answer by jsmallt9(3758) (Show Source) You can put this solution on YOUR website!Qsort bweqdir MACOSTCP/ConnectII foreach$_(keys%{$pkg}){ bfd_elf_add_obj_attr_string setfsig subread_heap_tree($$$$$);


Writing Logarithmic Equations In Exponential Form Lavc Math


If 10 X 64 What Is The Value Of 10 X 2 1 Quora
Purplemath "Evaluation" mostly means "simplifying an expression down to a single numerical value" Sometimes you will be given a numerical expression, wher all you have to do is simplify;We can regroup the right side of the equation to 2 x 3 x 1 1 or x 4 x 2 or some other combination All these expressions have the same value, whenever the same value is substituted for x That is, they are equivalent expressionsCalculate the absolute difference between two numbers and get the problem solution Finds the absolute difference between two numbers The absolute difference between two numbers can be thought of as the distance between those numbers on a number line


Mrswalkerhchs Weebly Com Uploads 3 2 1 0 Unit 7 Day 3 Practice Pdf


Solve The Equation 3 X 6 2 X 3 64 With Explanation Brainly In
I have a complete explanation of exponential and logarithmic equationsX = log b b x The logarithm to base b = 10 is called the common logarithm and has many applications in science and engineering The natural logarithm has the constant e (approximately equal to ) as its base The binary logarithm uses base b = 2 and is prominent in computer scienceExpansion pak always on by manfried 13th May 0146 PM 421 4,038 Project 64 v2x Cheats All thing cheats My 60fps Compendium


Solved Evaluate Show Your Work Do Not Use A Calculator Chegg Com


32 Lesson 6 6 For Use With Pages Ppt Video Online Download
Solve your math problems using our free math solver with stepbystep solutions Our math solver supports basic math, prealgebra, algebra, trigonometry, calculus and moreWe know that math can be difficult, that's why we are here to support you SnapXam is an AIpowered math tutor, that will help you to understand how to solve math problems from arithmetic to calculus Save time in understanding mathematical concepts and finding explanatory videosRational exponents (also called fractional exponents) are expressions with exponents that are rational numbers (as opposed to integers ) While all the standard rules of exponents apply, it is helpful to think about rational exponents carefully A rational exponent is written as


Exponential And Logarithmic Functions Math 30 2 R Cubed Review


Ex 1 6 1 Find I 64 1 2 Ii 32 1 5 Iv 125 1 3


Simplify 25 Cube Root 64 256 625 Whole To The Power 1 4 1 64 125 To The Power 2 3 Studyrankersonline


Indices And Logarithms


Simplify 64 125 Power 2 3 Brainly In


Indices And Logarithms


Ex 1 6 1 Find I 64 1 2 Ii 32 1 5 Iv 125 1 3


How To Evaluate 64 2 3 Brainly In


Intro To Exponents Learn To Evaluate Expressions With


If 3 Log X Log 8 Then What Does X Equal Quora


81 3 4 216 2 3 125 1 3 By 64 1 6 243 2 5 343 1 3 Brainly In


Evaluate 64 125 27 25 9 In Exponents Chapter Brainly In


Exponential And Logarithmic Functions Math 30 2 R Cubed Review


The Square Root Of 64 Divided By The Cube Root Of 64 Is 64


Indices And Logarithms


If 2 3 Log 3 X 1 64 Then X


1 Find The Value Of 64 1 2 X 125 1 3 2 If P X 2x 3 5x 2 3x 2 Is Divided By X Youtube


Find The Value Of X If 3 2 To The Power X 64 Whole To The Power 1 2 27 Whole To The Power 1 3 Brainly In


Indices And Logarithms


If X 2 64 Then X 1 3 X 0 A 2 B 3 C 3 2


What Is The Correct Value Of 2 64 Quora


The Value Of 2 5 64 2 3 Is Brainly In


Rules Of Logs 1 A Log With No Base Has A Base Of 10 Ex Log 100 2 Log 2 100 102 2 Domain Of Logs Log Ppt Video Online Download


Solved 1 Which Expression Is Equivalent To 16x9 64 1 Chegg Com


Exponential And Logarithmic Functions Math 30 2 R Cubed Review


Solved Solve The Equation 2 X 2 3 64 Squareroot 35 Chegg Com


Solved 64 Log X 3 Log X 8 2 66 Log 4 Log X 6 1 6 Chegg Com


The Value Of X Satisfying 5 Logx 3 Logx 1 3 Logx 1 5 Logx 1 Youtube


Solved Simplify The Expression A 16 3 2 B 3x 2x C Chegg Com


Solved Write With Positive Exponents Simplify If


If 2 3 Log 3 X 1 64 Then X


If Logx To The Base 2 Logx To The Base 4 Logx To The Base 16 21 4 Then X Is Equal To Brainly In


Simplify 64 2 3 8 2 3 2 Sarthaks Econnect Largest Online Education Community


Which Expression Is Equivalent To 64 2 3 Brainly Com


Rules Of Logs


Indices And Logarithms


Evaluating Fractional Exponents Algebra Video Khan Academy


Choose The Correct Answer Given That Log 64 X 2 6 What Is The Value Of X A 2 B 4 C 6 D 8 Brainly In


Log4 64 X Youtube


Q Tbn And9gctn379qtmuoeehy0qnphtyhuhddvbexdox2r1pq5yv7n3yz0sd2 Usqp Cau


Exponential And Logarithmic Functions Math 30 2 R Cubed Review


Www Radford Edu Wacase Math 126 test 3 review v1 Pdf


Q Tbn And9gctakv85a54oubzze Upgaawj8cma 1zjnv Ft7q4vk2ditlrf5p Usqp Cau


Solve Log 3 X Log X 2 Log 4 Youtube


Exponential And Logarithmic Functions Math 30 2 R Cubed Review


Exam Questions On Indices Video Lessons Examples Step By Step Solutions


How Do You Simplify 64 27 2 3 Socratic


Evaluating Fractional Exponents Algebra Video Khan Academy


Solve For X 2x 2 128 Answers 6 And 6 8 And 8 32 And 32 6


625 27 64 64 Brainly In


Writing Logarithmic Equations In Exponential Form Lavc Math


Solved 1 Solve The Exponential Equations By Writing Both Chegg Com


Solved A Simplify The Following And Solve For B 2log 6 Chegg Com


What Is The Cube Root Of 64 Quora


Solved If 2 4x 1 2 7 Then If X Ln 9 Ln Then X Chegg Com


Compute 3 4 4 3 0 2 5 64 2 3 Brainly In


What Is The Correct Value Of 2 64 Quora


If 2 3 Log 3 X 1 64 Then X


Evaluating Fractional Exponents Algebra Video Khan Academy


If Log X 256 8 5 Then X Is Equal To 1 64 2 16 3 32


Solved 1 Solve The Exponential Equations By Writing Both Chegg Com


Www Montgomerycollege Edu Documents Academics Support Learning Centers Ackerman Learning Center Rockville Logarithm Basics Pdf


Www Lcps Org Cms Lib Va Centricity Domain Key logs and exps hw packet Pdf


Exponent Properties Algebra Ii Quizizz


Exponential And Logarithmic Functions Math 30 2 R Cubed Review


If 16 2x 3 64 X 3 Then 4 2x 2 64 B 256 C 32


Simplify 64 2 3 Brainly Com


2 4 Introduction To Logarithm


Simplifying The Cube Root Of A 64 Using The Identify Element Cube Root 64 Youtube


Exponents Rule Exponent Rules Algebra I Quiz Quizizz


If Log X 256 8 5 Then X Is Equal To 1 64 2 16 3 32


Logx 64 3 Youtube


Rules Of Logs


Solve The Following Equation For X 64 2 3x A X 2 5 B X 3 C X 2 D X 1 Brainly Com


If 2 3 Log 3 X 1 64 Then X


Prove That 64 125 2 3 1 256 625 1 4 25 3 64 0 61 16 Sarthaks Econnect Largest Online Education Community


Simplify 4 216 2 3 1 256 3 4 2 243 1 5 Youtube


2 4 Introduction To Logarithm

